btbanner.jpg

Towards evolving sensor actor networks

Sensor Actor NETworks (SANET) represent a major component of ubiquitous service environments promising interesting solutions to a wide range of problems. Despite the obvious increase in the research activities proposing architectures and protocols for SANETs, we are still no where near the production of industrial-grade SANET software that can be relied upon for mission critical applications. The cost of programming, deploying and maintaining SANET environments is still highly prohibitive due to the lack of industrial tools capable of realizing adaptive SANET software in a cost effective way

Energy and Water
Circuit Theory and Applications
Software and Communications
Agriculture and Crops

Analytical Markov model for slotted ALOHA with opportunistic RF energy harvesting

In this paper, we investigate the performance of an ALOHA random access wireless network consisting of nodes with and without RF energy harvesting capability. We develop and analyze a Markov model for the system when nodes with RF energy harvesting capability are infinitely backlogged. Our results indicate that the network throughput is improved when the conventional nodes are underloaded. On the contrary, when all types of nodes have finite backlogs, we numerically demonstrate that the network throughput and delay are improved when the overall system is overloaded. We show that there exists a

Energy and Water
Software and Communications
Innovation, Entrepreneurship and Competitiveness

Simulation of Water Wave Interaction with Large Submerged Square Obstacles

Water waves propagation over submerged obstacles is considered. The problem serves as an efficient model for modeling breakwaters. A numerical wave tank is developed to simulate the induced flow field. The model is based on multiphase viscous flow assumptions. Computations are performed adopting clustered grids and suitable initial and boundary conditions. The results are verified using the flow field particle image velocimetry (PIV) measurements. Spatial and temporal resolutions are validated. Complex flow phenomena occurring due to the presence of the relatively large sized obstacle are

Energy and Water
Mechanical Design

Analytic and numeric analysis for deformation of non-prismatic beams resting on elastic foundations

Background: The buckling load as well as the natural frequency under axial load for non-prismatic beam is a changeling problem. Determination of buckling load, natural frequency, and elastic deflection is very important in civil applications. The current paper used both perturbation method (PM), analytic method, and differential quadrature method (DQM), numerical method, to find buckling load and natural frequency with different end supports. The deflection of the beam resting on an elastic foundation under transverse distributed and axial loads is also obtained. Both PM and DQM are used for

Energy and Water
Software and Communications
Mechanical Design

Design of a Schlieren System for Visualization of Heat and Mass Transfer

In this contribution, a simple yet effective design for Schlieren photography system is described and implemented. The proposed system is used in the visualization of both heat and mass transfer phenomena. Refractive index gradient is created by a lighter to study mass transfer, then the lighter is ignited to create temperature gradient. Results show the ability of the proposed system in capturing the gradients in both mass and temperature gradients. © 2020 IEEE.

Energy and Water
Mechanical Design

Analytical solution for nonlinear interaction of euler beam resting on a tensionless soil

The nonlinear interaction between an elastic Euler beam and a tensionless soil foundation is studied. Exact analytical solutions of the challenging problem are rather complicated. The basic obstacle is imposing compatibility conditions at lift-off points. These points are determined as a part of the solution although being needed to get the solution itself. In the current work, solutions are derived using the approximate Rayleigh-Ritz method. The principal of vanishing variation of potential energy is adopted. The solution is approximated using a set of suitable trial functions. Lift-off

Energy and Water
Mechanical Design

Experimental investigation of the dynamic characteristics of wrapped and wound fiber and metal/fiber reinforced composite pipes

This paper experimentally investigates the effect of the manufacturing method and metal reinforcement option on the natural frequency and damping behavior of five polymer and Fiber Reinforced Polymer (FRP) composite pipes. The five pipes are made of polymer, roll-wrapped woven glass FRP, metal-reinforced roll-wrapped woven glass FRP, filament-wound glass FRP, and metal reinforced filament-wound-up glass FRP. The composite pipes can replace conventional pipes in oil and gas industries and conventional metallic shafts in many applications. Logarithmic decay, logarithmic decrement, and random

Energy and Water
Mechanical Design

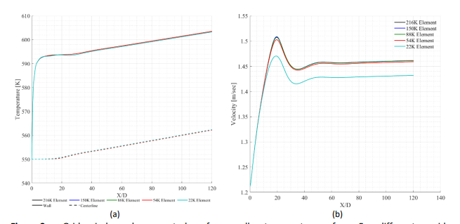
Turbulent Axisymmetric Non-Isothermal Flow of the Hitec Molten Salt with Temperature Dependent Properties: A Numerical Investigation

This study aims to investigate the Hitec molten salt's thermal-hydraulic behavior in a smooth round pipe under broad ranges of surface heat flux and Reynolds number (q = 104 - 105 W/m2, Re = 104 - 105). Mesh independent study was performed to ensure the robustness of the model to achieve accurate solutions. Presentation of temperature, pressure and thermophysical properties for multiple cases are presented and discussed. Temperature gradient decreases at high Reynolds number leading to small change in thermo-physical properties. While pressure seems not to be affected by the change in the

Energy and Water
Mechanical Design

Modeling complex flow induced by water waves propagation over submerged square obstacles

Submerged breakwaters are efficient structures used for shore protection. Many design features of these structures are captured upon modeling wave propagation over submerged square obstacles. The presence of separation vortices and large free surface deformations complicates the problem. A multiphase turbulent numerical model is developed using ANSYS commercial package. Careful domain discretization is done employing suitable mesh clustering to capture high gradients. Various numerical model parameters are provided, including grid size and time step. Special attention is directed towards

Energy and Water
Mechanical Design

Analysis of Tapered Timoshenko and Euler-Bernoulli Beams on an Elastic Foundation with Moving Loads

This research studies the vibration analysis of Euler-Bernoulli and Timoshenko beams utilizing the differential quadrature method (DQM) which has wide applications in the field of basic vibration of different components, for example, pillars, plates, round and hollow shells, and tanks. The free vibration of uniform and nonuniform beams laying on elastic Pasternak foundation will be studied under three sets of boundary conditions, that is, mixing between being simply upheld and fixed while utilizing the DQM. The natural frequencies and deflection values were produced through the examination of

Energy and Water
Software and Communications
Mechanical Design