btbanner.jpg

Chiral phase structure of the sixteen meson states in the SU(3) Polyakov linear-sigma model for finite temperature and chemical potential in a strong magnetic field

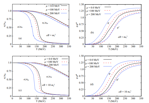
In characterizing the chiral phase-structure of pseudoscalar ( ), scalar ( ), vector ( ) and axial-vector ( t) meson states and their dependence on temperature, chemical potential, and magnetic field, we utilize the SU(3) Polyakov linear-sigma model (PLSM) in the mean-field approximation. We first determine the chiral (non)strange quark condensates, and , and the corresponding deconfinement order parameters, and , in thermal and dense (finite chemical potential) medium and finite magnetic field. The temperature and the chemical potential characteristics of nonet meson states normalized to the

Healthcare
Energy and Water

Assessment of cardiac mass from tagged magnetic resonance images

Purpose: Tagged and cine magnetic resonance imaging (tMRI and cMRI) techniques are used for evaluating regional and global heart function, respectively. Measuring global function parameters directly from tMRI is challenging due to the obstruction of the anatomical structure by the tagging pattern. The purpose of this study was to develop a method for processing the tMRI images to improve the myocardium-blood contrast in order to estimate global function parameters from the processed images. Materials and methods: The developed method consists of two stages: (1) removing the tagging pattern

Artificial Intelligence
Healthcare
Circuit Theory and Applications
Software and Communications

Strain-encoded cardiac magnetic resonance for the evaluation of chronic allograft vasculopathy in transplant recipients

The aim of our study was to investigate the ability of Strain-Encoded magnetic resonance imaging (MRI) to detect cardiac allograft vasculopathy (CAV) in heart transplantation (HTx)-recipients. In consecutive subjects (n = 69), who underwent cardiac catheterization, MRI was performed for quantification of myocardial strain and perfusion reserve. Based on angiographic findings subjects were classified: group A including patients with normal vessels; group B, patients with stenosis

Artificial Intelligence
Healthcare
Innovation, Entrepreneurship and Competitiveness

Strain-encoded cardiac magnetic resonance during high-dose dobutamine stress testing for the estimation of cardiac outcomes: Comparison to Clinical Parameters and Conventional Wall Motion Readings

Objectives: The purpose of this study was to determine the prognostic value of strain-encoded magnetic resonance imaging (SENC) during high-dose dobutamine stress cardiac magnetic resonance imaging (DS-MRI) compared with conventional wall motion readings. Background: Detection of inducible ischemia by DS-MRI on the basis of assessing cine images is subjective and depends on the experience of the readers, which may influence not only the diagnostic classification but also the risk stratification of patients with ischemic heart disease. Methods: In all, 320 consecutive patients with suspected or

Artificial Intelligence
Healthcare
Software and Communications
Innovation, Entrepreneurship and Competitiveness

Multi-view human action recognition system employing 2DPCA

A novel algorithm for view-invariant human action recognition is presented. This approach is based on Two-Dimensional Principal Component Analysis (2DPCA) applied directly on the Motion Energy Image (MEI) or the Motion History Image (MHI) in both the spatial domain and the transform domain. This method reduces the computational complexity by a factor of at least 66, achieving the highest recognition accuracy per camera, while maintaining minimum storage requirements, compared with the most recent reports in the field. Experimental results performed on the Weizmann action and the INIRIA IXMAS

Artificial Intelligence
Healthcare
Software and Communications
Innovation, Entrepreneurship and Competitiveness

Finite element analysis of pulsatile blood flow in elastic artery

New hybrid Eulerian/Lagrangian model is presented accounting for the two-way coupling between the pulsating blood flow and the artery deformability. The Streamline-Upwind/Petrove--Galerkin (SUPG) finite element technique is used to treat for the convective nature of the momentum equation. The deformability of the artery walls is accounted for by treating the wall as an elastic beam under transverse unsteady distributed load, namely the fluid pressure. The results of the present contribution compare well against the available published data. © 2019, Isfahan University of Technology.

Healthcare
Mechanical Design

A critical review on green corrosion inhibitors based on plant extracts: Advances and potential presence in the market

Corrosion occurs in all sectors including oil pipelines, drinking water and sewerage in the majority of cases linked to corrosion of steel. Good corrosion management includes optimising corrosion control actions and minimising lifecycle corrosion costs whilst meeting environmental goals. The toxicity of commonly used synthetic inhibitors are the subject of recent legislations (REACH and PARCOM) have led to search on more eco-friendly corrosion inhibitors. Extensive research is conducted to assess the corrosion inhibition rate of diverse green inhibitors. However, it was not adequately

Healthcare
Energy and Water
Agriculture and Crops
Mechanical Design

Optimization of lactic acid production from agro-industrial wastes produced by Kosakonia cowanii

Lactic acid is used for the preparation of poly-lactic acid. The objective of this research was to produce lactic acid from agro-industrial wastes as cheap, renewable substrates, and also reduce the pollution burden on the environment. Sixteen bacterial isolates were isolated from agro-industrial wastes. The chemical hydrolysis of agro-industrial wastes was achieved with hydrochloric acid, sulfuric acid, and sodium hydroxide. The highest yield of lactic acid produced was identified using 16S rRNA. The optimum conditions for lactic acid production were determined. Calcium lactate, produced from

Healthcare
Innovation, Entrepreneurship and Competitiveness

Comparison study of digital forensics analysis techniques

Recently, digital forensics analysis got a great attention in IT security. This is especially after cyber incidents are getting new form of organized crime which introduced Advanced Persistent Threats (APT), and hacking Kill Chain definitions. The threat intense rises when it is affecting the healthcare organization where it will be life-threatening. Handling such incidents is a great challenge for handlers to uncover the attack steps. With various sources of evidential data that require analysis, one analysis technique can be more beneficial than another, comparing to the time and resources

Healthcare
Software and Communications

Cluster Head election in Wireless Sensor Networks

Wireless Sensor Networks (WSNs) consist of a collection of cheap, easy to deploy Sensor nodes arranged together to fulfill a specific purpose (monitoring, tracking...etc.). A WSN network is composed of a Base Station (BS) and collection of sensors. There are a lot of approaches for the network construction. Amongst them is the hierarchical structure, where the network is divided into clusters and the node inside this cluster communicates with BS through a chosen leader called Cluster Head (CH). In this paper, we present cluster-Head election algorithms for WSNs. We will discuss the operations

Healthcare
Software and Communications