btbanner.jpg

Investigating analysis of speech content through text classification

The field of Text Mining has evolved over the past years to analyze textual resources. However, it can be used in several other applications. In this research, we are particularly interested in performing text mining techniques on audio materials after translating them into texts in order to detect the speakers' emotions. We describe our overall methodology and present our experimental results. In particular, we focus on the different features selection and classification methods used. Our results show interesting conclusions opening up new horizons in the field, and suggest an emergence of

Artificial Intelligence
Software and Communications

AraVec: A set of Arabic Word Embedding Models for use in Arabic NLP

Advancements in neural networks have led to developments in fields like computer vision, speech recognition and natural language processing (NLP). One of the most influential recent developments in NLP is the use of word embeddings, where words are represented as vectors in a continuous space, capturing many syntactic and semantic relations among them. AraVec is a pre-Trained distributed word representation (word embedding) open source project which aims to provide the Arabic NLP research community with free to use and powerful word embedding models. The first version of AraVec provides six

Artificial Intelligence
Software and Communications

A fully automated approach for Arabic slang lexicon extraction from microblogs

With the rapid increase in the volume of Arabic opinionated posts on different social media forums, comes an increased demand for Arabic sentiment analysis tools and resources. Social media posts, especially those made by the younger generation, are usually written using colloquial Arabic and include a lot of slang, many of which evolves over time. While some work has been carried out to build modern standard Arabic sentiment lexicons, these need to be supplemented with dialectical terms and continuously updated with slang. This paper proposes a fully automated approach for building a

Artificial Intelligence
Software and Communications

Exploiting neural networks to enhance trend forecasting for hotels reservations

Hotel revenue management is perceived as a managerial tool for room revenue maximization. A typical revenue management system contains two main components: Forecasting and Optimization. A forecasting component that gives accurate forecasts is a cornerstone in any revenue management system. It simply draws a good picture for the future demand. The output of the forecast component is then used for optimization and allocation in such a way that maximizes revenue. This shows how it is important to have a reliable and precise forecasting system. Neural Networks have been successful in forecasting

Artificial Intelligence
Software and Communications

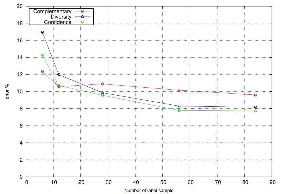
Complementary feature splits for co-training

In many data mining and machine learning applications, data may be easy to collect. However, labeling the data is often expensive, time consuming or difficult. Such applications give rise to semi-supervised learning techniques that combine the use of labelled and unlabelled data. Co-training is a popular semi-supervised learning algorithm that depends on splitting the features of a data set into two redundant and independent views. In many cases however such sets of features are not naturally present in the data or are unknown. In this paper we test feature splitting methods based on

Artificial Intelligence
Software and Communications

Building large arabic multi-domain resources for sentiment analysis

While there has been a recent progress in the area of Arabic SentimentAnalysis, most of the resources in this area are either of limited size, domainspecific or not publicly available. In this paper, we address this problemby generating large multi-domain datasets for Sentiment Analysis in Arabic.The datasets were scrapped from different reviewing websites and consist of atotal of 33K annotated reviews for movies, hotels, restaurants and products.Moreover we build multi-domain lexicons from the generated datasets. Differentexperiments have been carried out to validate the usefulness of the

Artificial Intelligence
Software and Communications

Combining lexical features and a supervised learning approach for arabic sentiment analysis

The importance of building sentiment analysis tools for Arabic social media has been recognized during the past couple of years, especially with the rapid increase in the number of Arabic social media users. One of the main difficulties in tackling this problem is that text within social media is mostly colloquial, with many dialects being used within social media platforms. In this paper, we present a set of features that were integrated with a machine learning based sentiment analysis model and applied on Egyptian, Saudi, Levantine, and MSA Arabic social media datasets. Many of the proposed

Artificial Intelligence
Software and Communications

An Analytical Computational Algorithm for Solving a System of Multipantograph DDEs Using Laplace Variational Iteration Algorithm

In this research, an approximation symbolic algorithm is suggested to obtain an approximate solution of multipantograph system of type delay differential equations (DDEs) using a combination of Laplace transform and variational iteration algorithm (VIA). The corresponding convergence results are acquired, and an efficient algorithm for choosing a feasible Lagrange multiplier is designed in the solving process. The application of the Laplace variational iteration algorithm (LVIA) for the problems is clarified. With graphics and tables, LVIA approximates to a high degree of accuracy with a few

Artificial Intelligence
Software and Communications

IoT Based AI and its Implementations in Industries

The Internet of Things (IoT) is an Internet revolution that is increasingly used in business, industry, medicine, the economy and other modern information society. IoT, particularly transport, industrial robots and automation systems are supported by artificial intelligence in a wide range of daily implementations with dominant industrial applications. IoT is an interconnected network of physical objects, which enables them to gather and share information, using software, sensor units and network connectivity. In industries; IoT brought about a new revolution in industries. In the field of IoT

Artificial Intelligence
Software and Communications

Controlled alternate quantum walk-based pseudo-random number generator and its application to quantum color image encryption

Pseudo-random number generator (PRNG) are a key component in the design of modern cryptographic mechanisms and are regarded as a backbone element of many modern cryptographic applications. However and in spite of their robustness, quantum computers could crack down PNGR-based systems. Quantum walks, a universal model of quantum computation, have nonlinear properties that make them a robust candidate to produce PRNG. In this paper, we utilize controlled alternate quantum walk (CAQW) to create PRNG. Moreover, we use the presented PRNG mechanism as a component of a new quantum color image

Artificial Intelligence
Software and Communications