btbanner.jpg

Fractional chaos maps with flower pollination algorithm for chaotic systems’ parameters identification

Meta-heuristic optimization algorithms are the new gate in solving most of the complicated nonlinear systems. So, improving their robustness, reliability, and convergence speed is the main target to meet the requirements of various optimization problems. In the current work, three different fractional-order chaos maps (FC-maps), which have been introduced recently, are incorporated with the fundamental flower pollination algorithm to tune its parameters adaptively. These maps are fractional logistic map, fractional sine map, fractional tent map, and their integer-order versions. As a result

Circuit Theory and Applications
Software and Communications

Replay attack on lightweight CAN authentication protocol

Day after day, users' expectations of tomorrow vehicles' features are increasing. Although the industry's prime goal is users' satisfaction, many unsolved problems are still present. Amongst the major challenges are the huge interconnections and dependability within the Electronic Control Unit (ECU) used inside vehicles. Five years ago, the number of ECUs within a vehicle was about 70 ECUs. This number has doubled nowadays, and it is expected to double again in the near future. This adds challenges to both of network management and network security. The purpose of this paper is to enhance the

Circuit Theory and Applications
Software and Communications

Fractional Order Sliding Mode PID Controller/Observer for Continuous Nonlinear Switched Systems with PSO Parameter Tuning

In this article a fractional order sliding mode PID controller and observer for the stabilization of continuous nonlinear switched systems is proposed. The design of the controller and observer is done following the separation principle, this means that the observer and controller are designed in a separate fashion, so a hybrid controller is implemented by designing the sliding mode controller part using an integral sliding mode surface along with a PIλDμ controller part which is the fractional order PID controller that is implemented to stabilizes the system. For the observer part, an

Artificial Intelligence
Circuit Theory and Applications
Software and Communications

Investigation of properties limiting efficiency in Cu2ZnSnSe4-based solar cells

We have investigated different nonidealities in Cu2ZnSnSe4-CdS-ZnO solar cells with 9.7% conversion efficiency, in order to determine what is limiting the efficiency of these devices. Several nonidealities could be observed. A barrier of about 300 meV is present for electron flow at the absorber-buffer heterojunction leading to a strong crossover behavior between dark and illuminated current-voltage curves. In addition, a barrier of about 130 meV is present at the Mo-absorber contact, which could be reduced to 15 meV by inclusion of a TiN interlayer. Admittance spectroscopy results on the

Energy and Water
Circuit Theory and Applications
Software and Communications

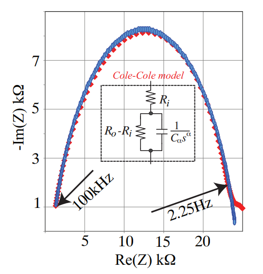
Cole-Cole Bio-Impedance Parameters Extraction from a Single Time-Domain Measurement

We show that the four parameters of a single-dispersion Cole-Cole bio-impedance model can be extracted from an one time-domain measurement with a fixed frequency. In particular, a periodic triangle waveform current excitation signal is injected into the biological sample under study while measuring the voltage developed across this sample in a galvanostatic measurement setup. The voltage response due to this triangle-wave excitation is firstly analytically derived in closed form. After that the Flower Pollination optimization Algorithm (FPA) is applied to extract the unknown model parameters

Circuit Theory and Applications
Software and Communications
Agriculture and Crops

A system model for green manufacturing

Manufacturing systems evolution is afunction in multiple external and internal factors. With today's global awareness of environmental risks as well as the pressing needs to compete through efficiency, manufacturing systems are evolving into a new paradigm. This paper presents a system model for the new green manufacturing paradigm. The model captures various planning activities to migrate from a less green into a greener and more eco-efficient manufacturing. The various planning stages are accompanied by the required control metrics as well as various green tools in an open mixed architecture

Energy and Water
Software and Communications
Agriculture and Crops

Assessing lean systems using variability mapping

A new approach to assess lean manufacturing based on system's variability is proposed. The assessment utilizes a new tool called variability source mapping (VSMII) which focuses on capturing and reducing variability across the production system. The new tool offers a new metric called variability index to measure the overall variability level of the system. Based on the mapping and the new metric, VSMII suggests a variability reduction plan guided by a recommendation list of both lean techniques as well as production control policies. An industrial application is used to demonstrate the new

Software and Communications
Innovation, Entrepreneurship and Competitiveness

Neural Network Based Switching State Selection for Direct Power Control of Three Phase PWM-Rectifier

This article proposes an intelligent approach to the Direct Power Control technique of the PWM rectifier, this control technique improves the performance of PWM converter, called Direct Power Control Based on Artificial Neural Network (ANN), applied for the selection of the optimal control vector. DPC-ANN ensures smooth control of active and reactive power in all Sectors and reduces current ripple. Finally, the developed DPC was tested by simulation, the simulation results proved the excellent performance of the proposed DPC scheme. © 2018 IEEE.

Artificial Intelligence
Software and Communications
Innovation, Entrepreneurship and Competitiveness

Multistability Analysis and Function Projective Synchronization in Relay Coupled Oscillators

Regions of stability phases discovered in a general class of Genesio-Tesi chaotic oscillators are proposed. In a relatively large region of two-parameter space, the system has coexisting point attractors and limit cycles. The variation of two parameters is used to characterize the multistability by plotting the isospike diagrams for two nonsymmetric initial conditions. The parameters window in which the jerk system exhibits the unusual and striking feature of multiple attractors (e.g., coexistence of six disconnected periodic chaotic attractors and three-point attraction) is investigated. The

Circuit Theory and Applications
Software and Communications
Innovation, Entrepreneurship and Competitiveness

Enhanced plasmonic photovoltaic using embedded novel gear-shaped nanoparticles

In this paper, novel gear-shaped nanoparticles are introduced for the first time to enhance the photovoltaic (PV) efficiency. This has been achieved via increasing the overall power absorption by the PV semiconductor material in both visible and near-infrared ranges. The modes of the new gear-shaped nanoparticles are investigated. A parametric study has been performed which demonstrates how the design parameters of the proposed nanoparticles can be engineered for best overall power absorption within a Si surrounding medium. A figure of merit (FoM) is defined that takes into account all

Software and Communications